Lista anuală a miliardarilor lumii întocmită de Forbes include un număr record de 2.755 de miliardari, fondatorul Amazon.com Inc, Jeff Bezos, ocupând primul loc...
Actualitate
Nu au curent în casa ori becuri pe stâlpi! O pensionară de 92 de ani din Vladimir și fiul cu handicap, obligați să plătească iluminatul public
Anamaria Stoica -
Familia Danciu din comuna Vladimir, compusă din doar membri, este obligată de autoritățile locale să achite iluminatul public.
Asta și pentru ultimii ani, deși în...
Actualitate
Sute de angajați CEO, trimiși acasă de Paște! – Nicu Bunoaica: Ne transformă în muncitori sezonieri!
Mihaela C. Horvath -
Conducerea Complexului Energetic Oltenia a notificat sindicatele cu privire la faptul că în perioada imediat următoare, chiar de Paşte, sute de oameni, prin rotaţie,...
Situație tensionată la Lihulești, în comuna Berlești, unde unul dintre localnici este acuzat de oamenii din sat de faptul că îi înjură, îi amenință...
Antrenorul Pandurilor, Călin Cojocaru, este de părere că în fotbalul autohton trebuie mai multe investiții în infrastructură, dar și în sectorul juvenil. Tehnicianul timișorean...
Ministerul Investițiilor și Proiectelor Europene, prin Autoritatea de Management pentru Programul Operațional Infrastructură Mare, a semnat noi contracte de finanțare, în valoare totală de...
Cultura
RESTITUIRI – BICENTENARUL REVOLUȚIEI DIN 1821 CONDUSĂ DE TUDOR VLADIMIRESCU – 1821-2021 – (V)
Echipa Gorjeanul -
Ținând cont de toate aceste aspecte, acum, în final, putem afirma că prezența culorilor albastru, galben și roșu pe flamura drapelului, nu a fost...
În cele ce urmează, trecem în revistă câteva clădiri cu destinație de locuință, care se evidențiază prin caracterul lor maiestuos și reprezentativ pentru stilul...
Echipa de Junioare 3 de la CSM Târgu Jiu va debuta vineri la turneul de la Slatina. Deși, inițial, competiția era programată să înceapă...
Cultura
12 aprilie, termen pentru depunerea dosarelor în vederea echivalării studiilor de scurtă durată
Oana Roxana Lupu -
A fost aprobat calendarul activităților prevăzute în Metodologia privind echivalarea pe baza ECTS/SECT a învățământului universitar de scurtă durată, realizat prin colegiul cu durata...
Două accidente rutiere s-au produs ieri, pe drumul de centură al municipiului Târgu-Jiu, la interval de doar câteva ore. Nu s-au înregistrat victime.
Un accident...
Societate
Educaţia…şi «Lecţia» despre viaţă! – Despre cărție electronice de identitate cu cip şi legătura cu tendinţele globaliste!
Echipa Gorjeanul -
Dacă rezumăm diferitele situaţii existente în lumea în care trăim, prin drepturi individuale, pentru a încerca să proiectăm toate analizele prin prisma lor, pierdem...
Primăria comunei Drăguțești organizează concurs pentru ocuparea, pe perioadă nedeterminată, a unui post de inspector, grad II, la Compartimentul Cultură. Cei interesați de acest...
Organizația județeană PRO România Gorj solicită public destituirea din fruntea Serviciului de Ambulanță Gorj a managerului Constantin Mitroi, ca urmare a raportului de control...
Motto: „Lumea mă vede diferit, în funcție de optica fiecăruia. Unii mă văd în alb, alții – în negru, iar alții – în roz.”...
Viitorul Târgu Jiu și-a aflat programul din perioada următoare. Echipa la care a revenit Cristian Lupuț va juca în a doua etapă a play-out-ului...
Amenzi de peste 22.000 de lei au fost date, în ultima săptămână, de către Direcția Sanitară-Veterinară și Siguranța Alimentelor Gorj. Controalele au fost efectuate...
Ministrul Tineretului și Sportului, Eduard Novak, a anunțat că partidele de la Bucureşti din cadrul EURO 2020 se pot desfăşura cu prezența a maximum...
Realitatea Gorjeana
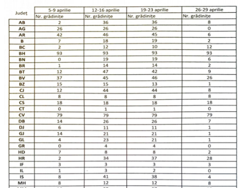
Mai multe grădinițe din județ, deschise și pe perioada vacanței de primăvară
Oana Roxana Lupu -
Nu toate grădinițele din județ vor fi închise pe perioada vacanței de primăvară. O parte dintre acestea vor funcționa și în perioada 5 –...
Actualitate
Guvernul tace cu privire la reducerea vârstei de pensionare în rândul minerilor
Mihaela C. Horvath -
Guvernul a primit un termen de două săptămâni pentru a da un aviz pozitiv sau negativ pe proiectul de reducere a vârstei de pensionare...
Patru elevi de la Colegiul Național ,,Tudor Vladimirescu” Târgu-Jiu s-au calificat la etapa a II-a a Olimpiadei de Chimie 2021. Aceasta se va desfășura...
Apropierea mea de marea artistă s-a făcut prin anii ’50, pe calea undelor, fiind, pe atunci, elev la Școala elementară nr.7 din Sibiu, de...
Testarea rapidă pentru COVID-19 în farmacii ar putea să înceapă într-o săptămână. Testele nu vor fi gratuite, ci vor avea un preţ impus de...
Actualitate
Alimente europene împărțite beneficiarilor din Scoarța! Cele rămase, distribuite copiilor cu handicap
Anamaria Stoica -
În luna martie 2021, Primăria Comunei Scoarța a primit un număr de 116 pachete cu produse alimentare de la Uniunea Europeană destinate persoanelor beneficiare...
În cultura plantelor, deci și a legumelor, un factor foarte important în obținerea de recolte bogate, sănătoase și mai ieftine îl constituie planta premergătoare....
S-a înregistrat al doilea eveniment rutier pe drumul de centură al municipiului Târgu Jiu. Participanții la trafic au fotografiat o mașină lovită aflată în...
În data de 6 aprilie 2021, ora 14.00, situația epidemiologică, la nivelul județului Gorj, se prezintă astfel:
415 persoane în carantină la domiciliu/locația declarată;
...
Un accident rutier a avut loc astăzi în zona Barajelor. Circulația a fost îngreunată. IPJ Gorj anunță însă că incidentul a fost unul minor,...
Grupul de Comunicare Strategică al Guvernului a anunţat că, în ultimele 24 de ore, în România, au fost înregistrate 5.231 de noi cazuri de...
Iubitorii de teatru sunt invitați duminică, de la ora 19:00, la premiera „Di A Log”, un spectacol cine-teatral de Radu Botar și Mălina Andrei,...
Persoanele afectate de pandemia COVID-19, precum și personalul medical supus condiţiilor de stres sau oricine se confruntă cu presiunea cauzată de pandemie beneficiază de...
Au demarat lucrările la Pasarela de pe strada Unirii din Târgu-Jiu. „Pasarela a intrat în reabilitare noaptea trecută. Carosabilul va fi pregătit pentru turnarea...
Şomajul creşte în România şi ajunge la 5,6% din populaţia aptă de muncă, anunţă Institutul Naţional de Statistică.
Aproape jumătate de milion de oameni nu...
Un restaurant din Gorj a fost amendat cu 10.000 de lei de către inspectorii DSV. Asta după ce în aparatura frigorifică destinată depozitării cărnii...
Polițiști din cadrul Secției 3 Poliţie Rurală Motru au fost sesizaţi de un bărbat de 57 de ani, din comuna Văgiuleşti, cu privire la...
Testarea pentru coronavirus în farmacii ar putea să înceapă într-o săptămână, a precizat Andreea Moldovan, secretar de stat în Ministerul Sănătății.
„Nu este deloc imposibil,...
Un bărbat în vârstă de 41 de ani, din Băleşti, a chemat Poliţia, duminică, după ce a fost lovit de unul dintre colegii de...
Ultima Ora
A fost aprobat calendarul pentru echivalarea studiilor de scurtă durată
Oana Roxana Lupu -
A fost aprobat calendarul activităților prevăzute în Metodologia privind echivalarea pe baza ECTS/SECT a învățământului universitar de scurtă durată, realizat prin colegiul cu durata...
Noua variantă de coronavirus, prezentând atât caracteristicile tulpinii britanice B1.1.7, cât şi mutaţia E484K, care potrivit unor studii poate reduce eficienţa vaccinurilor împotriva virusului,...
În primul trimestru al anului 2021 inspectorii de muncă din cadrul Inspectoratului Teritorial de Muncă Gorj au efectuat un număr de 508 controale, din...
Marea relaxare vine la 1 iunie. Este promisiunea făcută de premierul Florin Cîţu, însă pentru acest lucru trebuie să fie vaccinați peste cinci milioane...
Ultima Ora
Patru elevi din Gorj, calificați la etapa a II-a a Olimpiadei de Chimie
Oana Roxana Lupu -
Pe site-ul Olimpiadei de Chimie au fost publicate listele cu elevii calificați la etapa a II-a a competiției. Printre aceștia se numără și patru...
Cele mai mari salarii din România sunt plătite de industrii precum editarea de produse software, comerţul produselor farmaceutice, alte activităţi sportive, activităţi ale sindicatelor...
Actualitate
Liderii sindicali din CE Oltenia cer altă variantă de buget! Negocieri pentru creșteri salariale
Mihaela C. Horvath -
Încep negocierile în Complexul Energetic Oltenia între sindicate şi administraţia companiei, cu privire la salarizare, condiţii de muncă şi sănătate şi securitate în muncă....
Firul II de aducțiune Isvarna – Craiova, cu o valoare totală de peste 117 milioane de euro, este o investiție strategică nu numai pentru...
Complexul Energetic Oltenia a încheiat, ieri, pe piața contractelor bilaterale a OPCOM, 10 contracte de vânzare de energie electrică, cu livrare în 2022. Cumpărătorul...
Consiliul Concurenței a efectuat inspecții inopinate la sediile companiilor Samsung Electronics România SRL, Altex România SRL, Flanco Retail SA și Dante Internațional SA (compania...
Realitatea Gorjeana
Ultimele săptămâni de înscrieri la concursul de eseuri ,,Destine culturale europene”
Oana Roxana Lupu -
Elevii de liceu care doresc să participe la concursul de eseuri filosofice ,,Destine culturale europene” mai au doar câteva săptămâni la dispoziție pentru a-și...
Adolescenții cu vârste cuprinse între 14 și 18 ani pot participa la cea de-a VII-a ediție a concursului de dramaturgie ,,New Drama”, organizat de...
Echipa antrenată de Ionuţ Berca, CSS Târgu Jiu Under 15, a bifat un nou parcurs fără greşeală şi a obţinut calificarea la turneul semifinal....
Cei mai mulți din norod își așterneau hainele pe drum; alții tăiau ramuri din copaci și le presărau pe drum. Noroadele care mergeau înaintea...
Editorial
Ca la noi, la nimeni – Amânarea Marelui protest pentru liniștea lui Iohannis?!
Echipa Gorjeanul -
Motto: „În practica toleranței, dușmanul îți este cel mai bun învățător.” - Dalai lama
O vorbă din popor ne-învață să nu lași pe mâine ce...
Universitatea Craiova a remizat cu FCSB într-un meci fără goluri, disputat pe stadionul Marin Anastasovici din Giurgiu. Spre deosebire de alte jocuri, trupa din...
Actualitate
Formațiile de dansuri populare, invitate la a XVIII-a ediție a Festivalului ,,Memorial Liviu Dafinescu”
Oana Roxana Lupu -
Formațiile de dansuri populare din județ sunt invitate să participe la cea de-a XVIII-a ediție a Festivalului Jocului și Portului Popular pentru Tineret ,,Memorial...
Cultura
RESTITUIRI – BICENTENARUL REVOLUȚIEI DIN 1821 CONDUSĂ DE TUDOR VLADIMIRESCU – 1821-2021 – (IV)
Echipa Gorjeanul -
După cum se poate observa, registrul iconografic și mesajul întregului drapel, pictat inițial, este încheiat cu anul și luna preconizate pentru declanșarea revoluției naționale:...
Complexul Energetic Oltenia alocă peste 500 de milioane de lei pentru achiziționarea de cabluri. Este vorba de cabluri de tracțiune și cabluri de legături...
Primarul municipiului Motru, Cosmin Morega, a fost amendat pentru cheful la care a participat în urmă cu două seri. Acesta a transmis momentul pe...
Antrenorul macedonean Jordanco Davitkov a debutat oficial în Liga Națională de Baschet. CSM Târgu Jiu a primit luni, la prânz, vizita puternicei formații CSU...
Deputatul USR de Gorj, Radu Miruță, și-a pus semnătura pe un proiect de lege privind modificarea Regulamentului Camerei Deputaților prin care sunt stabilite reguli...
Privitorul atent al clădirilor din Târgu Jiu, fie el turist sosit pentru prima dată în oraș, fie locuitor mai vechi, care a prins schimbările...
La finalul anului 2020, numărul mașinilor înmatriculate în Gorj era de 152.024, mai multe cu nouă mii față de aceeași perioadă a anului 2019....
Echipa de senioare de la CS Pandurii a terminat pe primul loc Campionatul Național de Alergare pe șosea (10 kilometri). Competiţia s-a desfăşurat duminică,...
Grădinițele pot organiza activități cu copiii și în perioada vacanței de primăvară, cu avizul direcțiilor de sănătate publică. Potrivit unei situații publicate de Ministerul...
Ministerul Investiţiilor şi Proiectelor Europene, prin Autoritatea de Management pentru Programul Operaţional Infrastructură Mare, a anunţat luni că a semnat alte 11 contracte de...
Chiar dacă depozitul de deșeuri municipale din Târgu-Jiu este momentan închis, la sesizarea mai multor cetățeni din zonă, comisarii Gărzii de Mediu Gorj, împreună...
În data de 5 aprilie 2021, ora 14.00, situația epidemiologică, la nivelul județului Gorj, se prezintă astfel:
442 persoane în carantină la domiciliu/locația declarată;
...
Un cetățean al municipiului a prezentat, în urmă cu scurt timp, instantanee surprinse în imediata vecinătate a gropii de gunoi ecologice a orașului Târgu...
Autoritățile locale au achiziționat din donații, nu doar un concentrator de oxigen pentru spitalul din Motru, ci și 20 de pătuțuri cu lenjeria aferentă...
Autoritatea locală a solicitat Ministerului Sănătății aprobarea înființării unui cabinet de urologie care sa funcționeze în ambulatoriul de specialitate al spitalului din Motru.
Ministerul a...
La inițiativa autorității publice locale din comuna Scoarța, în satul Budieni a fost amplasat un spațiu de joacă pentru copii, dotat cu topogane, leagăne...
Ultima Ora
UPDATE: Persoană scoasă din foc, la Tămășești. Incendiul s-a produs din cauza unei țigării
Mihaela C. Horvath -
Un bărbat în vârstă de 65 de ani a suferit arsuri pe 40 la sută din suprafața corpului, după ce casa lui din satul...
Un medic de numai 28 de ani din Timișoara s-a sinucis. Băiatul ieșise din tura de noapte, iar în ultima perioadă lucrase numai pe...
Rata de infectare cu noul coronavirus continuă să scadă în Gorj, ajungând la 1,57. Sunt cinci localități în scenariul roșu: Stoina, Hurezani, Ciuperceni, Albeni...
Medicul Valeriu Gheorghiță, coordonatorul campaniei naționale de vaccinare anti-COVID-19, a declarat că în partea a doua a lunii aprilie se va ajunge la 100.000...
Ultima Ora
Noi cazuri de coronavirus, confirmate în rândul angajaților din educație
Oana Roxana Lupu -
Noi cazuri de coronavirus au fost confirmate în rândul angajaților din învățământul preuniversitar gorjean. Potrivit inspectorului școlar Nicolae Negrea, este vorba de patru cadre...
Pompierii de la ISU Gorj intervin la această oră pentru stingerea unui incendiu care a izbucnit la o casă din satul Tămăşeşti, comuna Băleşti.
Ultima Ora
Braconieri prinşi în flagrant! Arma, muniţia şi telefoanele, confiscate
Mihaela C. Horvath -
Un bărbat din Târgu Jiu, în vârstă de 40 de ani, a fost prins în flagrant delict, la Curtişoara, vânând vulpi şi şacali.
Evenimentul a...
Polițiștii de la Serviciului de Investigații Criminale au depistat, vineri, pe raza comunei Scoarța, un tânăr de 24 de ani, din municipiul Târgu Jiu,...
Poliţiştii de la Rutieră au găsit în trafic doi tineri aflaţi sub influenţa alcoolului. Un tânăr de 25 de ani, din comuna Ciuperceni a...
Primarul municipiului Motru Cosmin Morega a fost amendat pentru cheful la care a participat azi-noapte. Acesta a transmis momentul pe Facebook, filmând lăutarii care-l...
APAREGIO GORJ SA anunță întreruperea furnizării apei potabile luni, 5.04.2021, în intervalul orar 10.00-12.00, în localitatea Târgu-Jiu, strada Ecaterina Teodoroiu, bl.103 A (sc.1 și...
Ziua Automobilistului este marcată anual la 5 aprilie, amintind de înfiinţarea, la această dată, în 1904, a Automobil Clubului Român, prima asociaţie a automobiliştilor...
Consiliul Județean Gorj, Centrul Județean pentru Conservarea și Promovarea Culturii Tradiționale Gorj, Ansamblul Artistic Profesionist “Doina Gorjului”, Asociația Culturală “Liviu Dafinescu”, Școala Populară de...
Au început plățile pentru programul Start-Up Nation, ediția 2018, în ultima săptămână fiind plătite 422 de deconturi, în valoare totală de 82,1 milioane lei.
”Am...
Manu Tomescu, vicepreşedintele Sindicatului Energia Rovinari, nu-i slăbeşte deloc pe liderii sindicatelor mari Dumitru Pîrvulescu şi Gabriel Căldăruşe.
În cea de-a noua săptămână de proteste,...
Ultima Ora
Jumătate de milion de doze Pfizer ajung, într-o nouă tranşă, în România
Mihaela C. Horvath -
O nouă tranşă de vaccin Pfizer BioNTech va ajunge astăzi în România, acestea urmând să fie livrate pe cale aeriană, pe aeroporturile din Otopeni,...
Cetățenii satului Roșiuța au sesizat încă de acum doi ani de zile că pe raza localității a luat ființă o așa-zisă fermă de porci...
În această perioadă, la CEO se lucrează la noua organigramă. Vor urma desființări de posturi, iar la TESA ținta ar fi eliminarea a aproximativ...
Un bărbat de 57 de ani, din orașul Țicleni, a fost condamnat la șase luni de închisoare cu suspendare. Gorjeanul a fost prins băut...
Sport
Cojocaru a găsit ,,scuzele” după eşecul de la Recea. Suporterii îi cer din nou demisia
Cătălin Pasăre -
Pandurii Târgu Jiu se îndreaptă cu paşi repezi către Liga 3. Din păcate pentru formaţia gorjeană, trupa pregătită de Călin Cojocaru a suferit o...
Agenția de Plăți şi Intervenție pentru Agricultură (APIA) informează că a demarat procesul de autorizare la plată pentru Măsura 14 - Plăţi privind bunăstarea...
Actualitate
Senatorul Rujan – Ministrul Energiei a manifestat o atitudine de secretomanie și obscuritate legat de planul de restructurare al CEO
Anamaria Stoica -
Parlamentarul PSD Cristinel Rujan consideră că salariații Complexului Energetic Oltenia și firmele care au legătură cu compania trebuie să cunoască care va fi viitorul...
Baschetbaliștii de la CSM Târgu Jiu vor evolua astăzi, începând cu ora 13.00, împotriva puternicei formaţii CSM Oradea. Meciul se dispută chiar în Sala...
Agenția de Plăți și Intervenție pentru Agricultură Gorj are un nou director executiv. Instituția care gestionează fondurile europene în agricultură va fi condusă de...
Realitatea Gorjeana
Catedrala Ortodoxa Motru: 17 ani de la sfințirea, 25 de ani de la punerea pietrei de temelie
Echipa Gorjeanul -
Catedrala Ortodoxă Motru a împlinit duminică 17 ani de la sfințire. În același timp se împlinesc 25 ani de la punerea primei sale pietre...
Motto: „Când cărțile se vând greu, oamenii se vând ușor, iar țara se dă pe degeaba.” - Tudor Mușatescu
Iată că opoziția, atâta câtă e,...
Omul de cultură V.G. Paleolog, pe numele său adevărat Vasile Georgescu, s-a născut la 23 septembrie 1890, în satul Teiu, comuna Cornu, judeţul Dolj,...
O grădiniță din municipiul Târgu-Jiu ar urma să primească mai mulți preșcolari din toamnă, când începe noul an școlar! Anunțul a fost făcut de...
Sub deviza ”Păstrați apele curate!”, preșcolarii de la Grădinița cu Program Prelungit Baia de Fier, sub îndrumarea educatoarelor, au desfășurat activități de ecologizare a...
Primarul Marcel Romanescu s-a deplasat ieri la Constanţa pentru a continua discuțiile cu Polaris. În urma deciziei instanţei de vineri, depozitul de gunoi din...






































































































































