Senatul Universității “Constantin Brâncuși”(UCB) din Târgu-Jiu a decis la ultima ședință ca personalul instituției de învățământ superior să răspundă, pe bază de chestionar, dacă activitatea conducerii UCB este sau nu satisfăcătoare. Senatul a stabilit inițierea acestei anchete interne, în timp ce a refuzat propunerile de prorectori făcute acestui for de conducere de către rectorul Luminița Popescu. Senatul a respins și fișele posturilor pentru prorectori, propuse de Popescu, pe motiv de nerespectare a Cartei UCB. Rectorul instituției de învățământ de stat din municipiu va fi obligat să ofere niște răspunsuri Senatului legat de neaplicarea hotărârilor acestui for și de tergiversarea punerii lor în aplicare.
Raportul Senat-rector la Universitatea “Constantin Brâncuși” din Târgu-Jiu pare destul de tensionat dacă analizăm ultimele hotărâri aprobate de forul de conducere al instituției, întrunit în ședință pe 7 martie. Senatul a stabilit atunci în art.7 să aprobe “organizarea și desfășurarea unei anchete, prin aplicarea unui chestionar, pentru evaluarea gradului de satisfacție a personalului didactic și de cercetare titular din UCB privind activitatea de conducere a acesteia”. Din comisia de evaluare stabilită de Senat fac parte șase cadre didactice ale UCB și reprezentantul sindicatului din universitate.
În cele două hotărâri de Senat nu se stabilește și perioada în care se desfășoară ancheta respectivă și măsurile care se vor lua dacă rezultatele nu vor fi unele favorabile conducerii actuale.
Prorectorii, respinși de senatori
Cert este că în aceeași ședință, rectorul Luminița Popescu a mai reputat o înfrângere, cei doi prorectori propuși de aceasta, în plen, fiind decimați la voturi. Ana Gabriela Babucea, propusă de Popescu pentru funcția de prorector care ar fi urmat să se ocupe de Infrastructură, dezvoltare instituțională, activitate financiar contabilă, relații internaționale a primit 23 de voturi împotrivă din partea senatorilor, un vot fiind nul, în timp ce Florin Grofu, propunerea pentru postul de prorector responsabil cu Învățământ, cercetare, calitate, studenția a obținut 21 de voturi împotrivă și 3 voturi pentru.
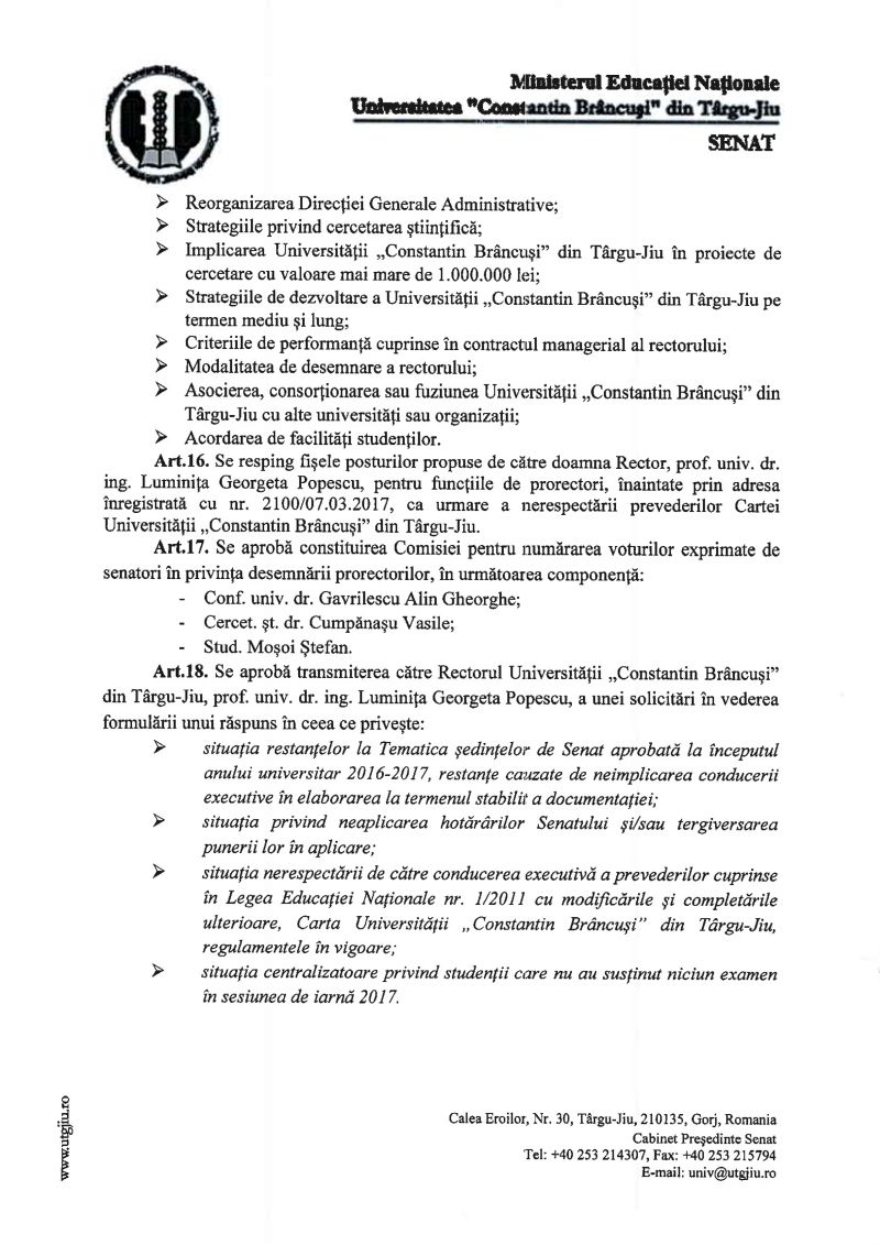
Fișele posturilor pentru prorectori, propuse de Luminița Popescu, sunt și ele desființate de Senat, acest organism stabilind că “încalcă Carta UCB”.
Explicații de la Popescu
Senatul a mai stabilit la art.18 să-i solicite rectorului răspuns la unele chestiuni deloc comode. Este vorba despre “situația restanțelor la Tematica de Senat, aprobată la începutul anului universitar 2016-2017, restanțe cauzate de neimplicarea conducerii executive în elaborarea la termenul cuvenit a documentației”, “situația privind neaplicarea hotărârilor Senatului și/sau tergiversarea punerii lor în aplicare”, “situația nerespectării de către conducerea executivă a prevederilor cuprinse în Legea Educației nr.1/2011 cu modificările și completările ulterioare, Carta UCB și regulamentele în vigoare” și “situația centralizatoare cu studenții care nu au susținut niciun examen în sesiunea de iarnă 2017”.
Senatul nu se lasă indus în eroare
Tensiunile interne de la UCB și-au făcut simțite prezența de anul trecut, Adrian Gorun, președintele Senatului, neascunzând că este supărat de felul cum conducerea executivă a UCB a gestionat criza cu care s-a confruntat în 2016 instituția. “Pe la începutul lunii august, contabilul-şef din acea vreme şi rectorul ne-au prezentat în Senat o situaţie alarmantă, solicitându-se un program dur de raţionalizare a cheltuielilor. Senatul a înţeles gravitatea situaţiei şi a aprobat propunerile Consiliului de Administraţie. Au fost solicitate între 5 şi 7 zile de concediu fără plată, pentru fiecare angajat! S-au suspendat gradaţiile de merit, au fost desfiinţate toate funcţiile de prodecan, şefi de serviciu, şefi de birou, în final, au apărut disponibilizări de personal. Acum, însă, spre surprinderea mea, am văzut că într-o conferinţă de presă, rectorul a declarat că s-a încheiat anul cu excedent financiar!(??). Sau, nu poţi să obţii excedent financiar pe seama oamenilor! Voi investiga acest aspect şi voi cere explicaţii. Oricum, Senatul nu se va mai lăsa indus în eroare, dacă se va constata că lucrurile nu ne-au fost prezentate corect!”, declara la finalul lui februarie, pentru Gorjeanul, Adrian Gorun.
A.Stoica








































Daca nu are universitatea bani, sa se pensioneze Gorun. De ce si-a votat prelungire pt 5 ani daca nu are bani? Numai pt el sunt bani?
Probleme in Paradis ? Grad de satisfactie ???????
Moare de ciuda ca universitatea are in sfarsit un rector bun si un management bun, cum nu a avut pe vremea lui. Deh, invidia!! Poate e timpul sa se pensioneze!